(一)一般方法 保護長期工作或間斷長期工作的電動機時熱繼電器的選用計算方法是: (1)一般情況下,按電動機的額定電流選取,使熱繼電器的整定值為(0.95—1.05)IN(IN為電動機的額定工作電流),或選取整定范圍的中值為電動機的額定工作電流。 (2)保護Y—Δ起動電動機,當熱繼電器的3個熱元件分別串接在Δ聯結的各相繞組內,熱繼電器的整定電流應按電動機的額定電流整定。 (3)保護并聯電容器的補償型電動機,只有有功電流流經熱繼電器,熱繼電器的整定電流可按下式近似進行整定:

式中 It——熱繼電器整定電流.A; IN——電動機額定電流,A; cosφ——電動機功率因數。
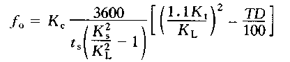
(二)作圖法 用于保護反復短時工作電動機的熱繼電器,每小時允許的操作次數,與電動機的起動過渡過程、通電持續率及負載電流等因素有關。復合加熱的熱繼電器,在反復短時工作下每小時允許的操作次數,可按圖1所示的速查曲線選用。 間接加熱的熱繼電器每小時允許的操作次數,比按圖1速查曲線選用的次數稍高。當電動機每小時的操作次數較高時,可選用帶速飽和電流互感器的熱繼電器。 圖3—1及其應用方法是根據下列公式繪制和確定的。反復短時工作允許操作頻率為

式中 f。——允許操作頻率,次/h; Kc——計算系數,Kc=0.8—0.9; ts——電動機起動時間,s: Ks——電動機起動電流倍數(即其起動電流與其額定電流之比);
KL——電動機負載電流倍數(即其負載電流與其額定電流之比): K1——熱繼電器額定整定電流與電動機額定電流之比:
TD——通電持續率。
 |