摘要: 分析了7種不同情況下變頻器的容量計算方法與選型依據,討論了變頻器的容量電動機的額定電流與負載轉矩等的關系,這些方法都具有很大的實用價值。 關鍵詞: 變頻器 容量 額定電流 計算方法
1 引言
采用變頻器驅動異步電動機調速。在異步電動機確定后,通常應根據異步電動機的額定電流來選擇變頻器,或者根據異步電動機實際運行中的電流值(最大值)來選擇變頻器。當運行方式不同時,變頻器容量的計算方式和選擇方法不同,變頻器應滿足的條件也不一樣。選擇變頻器容量時,變頻器的額定電流是一個關鍵量,變頻器的容量應按運行過程中可能出現的最大工作電流來選擇。變頻器的運行一般有以下幾種方式。
2 連續運轉時所需的變頻器容量的計算
由于變頻器傳給電動機的是脈沖電流,其脈動值比工頻供電時電流要大,因此須將變頻器的容量留有適當的余量。此時,變頻器應同時滿足以下三個條件:

式中:PM、η、cosφ、UM、IM分別為電動機輸出功率、效率(取0.85)、功率因數(取0.75)、電壓(V)、電流(A)。
K:電流波形的修正系數(PWM方式取1.05~1.1)
PCN:變頻器的額定容量(KVA)
ICN:變頻器的額定電流(A)
式中IM如按電動機實際運行中的最大電流來選擇變頻器時,變頻器的容量可以適當縮小。
3 加減速時變頻器容量的選擇
變頻器的最大輸出轉矩是由變頻器的最大輸出電流決定的。一般情況下,對于短時的加減速而言,變頻器允許達到額定輸出電流的130%~150%(視變頻器容量),因此,在短時加減速時的輸出轉矩也可以增大;反之,如只需要較小的加減速轉矩時,也可降低選擇變頻器的容量。由于電流的脈動原因,此時應將變頻器的最大輸出電流降低10%后再進行選定。
4 頻繁加減速運轉時變頻器容量的選定
根據加速、恒速、減速等各種運行狀態下的電流值,按下式確定:
I1CN=[(I1t1+I2t2+…+I5t5)/(t1+t2+…t5)]K0
式中:I1CN:變頻器額定輸出電流(A)
I1、I2、…I5:各運行狀態平均電流(A)
t1、t2、…t5:各運行狀態下的時間
K0:安全系數(運行頻繁時取1.2,其它條件下為1.1)
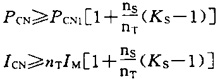
5 一臺變頻器傳動多臺電動機,且多臺電動機并聯運行,即成組傳動
用一臺變頻器使多臺電機并聯運轉時,對于一小部分電機開始起動后,再追加投入其他電機起動的場合,此時變頻器的電壓、頻率已經上升,追加投入的電機將產生大的起動電流,因此,變頻器容量與同時起動時相比需要大些。
以變頻器短時過載能力為150%,1min為例計算變頻器的容量,此時若電機加速時間在1min內,則應滿足以下兩式
若電機加速在1mn以上時
式中:nT:并聯電機的臺數
ns:同時起動的臺數
PCN1:連續容量(KVA) PCN1=KPMnT/ηcos
PM:電動機輸出功率
η:電動機的效率(約取0.85)
cosφ:電動機的功率因數(常取0.75)
Ks:電機起動電流/電機額定電流
IM:電機額定電流
K:電流波形正系數(PWM方式取1.05~1.10)
PCN:變頻器容量(KVA)
ICN:變頻器額定電流(A)
變頻器驅動多臺電動機,但其中可能有一臺電動機隨時掛接到變頻器或隨時退出運行。此時變頻器的額定輸出電流可按下式計算:

式中:IICN:變頻器額定輸出電流(A)
IMN:電動機額定輸入電流(A)
IMQ:最大一臺電動機的起動電流(A)
K:安全系數,一般取1.05~1.10
J:余下的電動機臺數
6 電動機直接起動時所需變頻器容量的計算
通常,三相異步電動機直接用工頻起動時起動電流為其額定電流的5~7倍,對于電動機功率小于10kW的電機直接起動時,可按下式選取變頻器。
I1CN≥IK/Kg
式中:IK:在額定電壓、額定頻率下電機起動時的堵轉電流(A);
Kg:變頻器的允許過載倍數 Kg=1.3~1.5
在運行中,如電機電流不規則變化,此時不易獲得運行特性曲線,這時可使電機在輸出最大轉矩時的電流限制在變頻器的額定輸出電流內進行選定。
7 大慣性負載起動時變頻器容量的計算
通過變頻器過載容量通常多為125%、60s或150%、60s。需要超過此值的過載容量時,必須增大變頻器的容量。這種情況下,一般按下式計算變頻器的容量:
式中:GD2:換算到電機軸上的轉動慣量值(N·m2)
TL:負載轉矩(N·m)
η,cosφ,nM分別為電機的效率(取0.85),功率因數(取0.75),額定轉速(r/min)。
tA:電機加速時間(s)由負載要求確定
K:電流波形的修正系數(PWM方式取1.05~1.10)
PCN:變頻器的額定容量(KVA)
8 輕載電動機時變頻器的選擇
電動機的實際負載比電動機的額定輸出功率小時,多認為可選擇與實際負載相稱的變頻器容量,但是對于通用變頻器,即使實際負載小,使用比按電機額定功率選擇的變頻器容量小的變頻器并不理想,這主要是由于以下原因;
1) 電機在空載時也流過額定電流的30%~50%的勵磁電流。
2) 起動時流過的起動電流與電動機施加的電壓、頻率相對應,而與負載轉矩無關,如果變頻器容量小,此電流超過過流容量,則往往不能起動。
3) 電機容量大,則以變頻器容量為基準的電機漏抗百分比變小,變頻器輸出電流的脈動增大,因而過流保護容量動作,往往不能運轉。
4) 電機用通用變頻器起動時,其起動轉矩同用工頻電源起動相比多數變小,根據負載的起動轉矩特性,有時不能起動。另外,在低速運轉區的轉矩有比額定轉矩減小的傾向,用選定的變頻器和電機不能滿足負載所要求的起動轉矩和低速區轉矩時,變頻器和電機的容量還需要再加大。
以上介紹的是幾種不同情況下變頻器的容量計算與選擇方法,具體選擇容量時,既要充分利用變頻器的過載能力,又要不至于在負載運行時使裝置超溫。有些制造廠(如ABB公司)還備有確定裝置定額軟件,只要用戶提出明確的負載圖就可以確定裝置的輸出定額。 |